刀具系統的動平衡
高速切削時,隨著主袖轉速的提高,在刀刃—刀柄—刀盤—夾緊裝置組成的刀具系統中,刀
具和夾具的不對稱形狀、系統構件的連接間隙和夾緊的不精確、主抽的圓跳動和磨損、主鈾
刀具拉緊機構中拉桿—碟形彈簧的偏移、冷卻潤滑液的影響等都會造成刀具系統的不平衡,
會對主軸產生一個附加的徑向載荷。由于離心力的作用,主軸與刀具結合部位的錐孔會產生
擴展效應,不僅會影響刀具和主鈾的連接剛度,嚴重時還會飛出傷人。因此,高速加工要確
保高速下主軸與刀具的連接狀態不能發生變化,并且對動態平銜提出很高的要求,不僅要求
主軸要有精密的動平衡,而且刀具裝夾機構也需精密動平衡。
《高速旋轉銑刀的安全性要求》標準規定:用于高速切削的銑刀必須經過動平衡測試,
井應達到Is01940—l規定的G1平衡質量等級以上。這種等級的動平衡要求,采用常規的方
法僅在裝配前對主軸的每個零件分別進行動平衡是不夠的,還需在裝配后進行整體精確動平
衡,甚至還要設計專門的自動平衡系統來實現主軸在線動平衡,以確保主釉高速平穩地
運行。
引起高速切削刀具系統不平衡的主要因素有:刀具的平衡極限和殘余不平衡度、刀具結
構不平衡、刀柄不對稱、刀具及夾頭的安裝(如單刃鏗刀)44對稱、主軸—刀具界面上徑向
的裝夾精度,主袖的磨損和回轉桔度;刀具和主軸連接面上雜物顆粒的污染等。
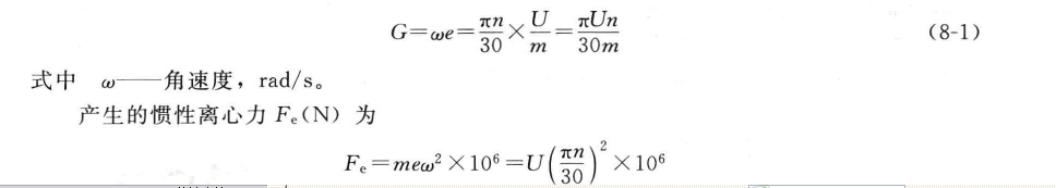
對于旋轉體的平衡,國際上采用Isol940—l標準用于評價。設刀具在距離旋轉中心f
(mm)處存在等效的不平衡質量m(8),則刀具允許的不平衡量u(8·mm)可定義為刀具
不平衡質量與其偏心距的乘積,即u=me。設G為允許反映刀具平衡量與旋轉速度n(r/
min)之間關系的參數,則 根據牛頓第二定律,由于不平衡量的存在,在旋轉過程中將產生與速度平方成正比的離心力F。對于旋轉體的平衡,國際上采用的標準是Is01940—1或美國標準ANsIs2.19,用G參數對剛性旋轉體進行分級,G的數字量分級從Go.4到G4000。6后面的數字越小,平衡等級越南。G后面的數字表示每單位旋轉體質量允許的殘余不平衡量,6的單位是8·mm/ks,也等于殘余質量中心以Mm表示的偏移量。由式(8—1)可知,G1近似表示刀具以loooor/mtn的轉速回轉時,回轉軸與刀具中心軸線的偏心距為1ym。
在該標淮中,允許的不平衡量EJ(8·mm)為
U=9545Gm/n式中6———G等級量,每單位旋轉體質量所允許的殘余不平衡量
m——旋轉部件的質量,k8; n——主軸轉速,r/mtn。
對不同機床的動平衡要求是:普通機床的旋轉件66.3;普通刀柄和機床傳動件G2.5;
磨床及精密機械旋轉件G1.o;精密磨床主抽及部分高速電主軸Go.4‘6000 r/min以上的高速切削刀具和刀柄系統的動平衡等級必須<G2.5。
圖8—6表示了由于刀具不平衡所引起的離心力與主軸轉速和刀具不平衡量的關系,離心力會使主鈾軸承受到方向不斷變化的徑向力作用而加速磨損并引起機床振動,當主軸轉速提高時,慣性離心力將以平方倍數增大。因此,高速旋轉刀具在使用前除進行靜平衡外,還必須進行動平衡。應根據其使用速度范圍進行平衡,以實現最佳的加工效益。對高速切削刀具進行平衡時,首先需對刀具、夾頭、主軸等各個元件單獨進行平衡,然后對刀具與央頭組合體進行平衡,最后將刀具連同主軸一起進行平衡。
推薦采用微調螺釘進行精細平衡,或直接采用內裝動平衡機構的控刀,通過轉動補償環
移動內部配重以補償刀具不平衡量。圖8—7為法國EPB公司制造的平衡刀具產品,其內裝
了平衡配重機構,并設置了配重刻度,通過轉動配重環,調整其相對位置,即可補償刀具結
構不對稱。圖8—8為德國walter公司采用螺釘調節不平衡量的高速面銑刀。



模具/零件 高速加工中心 鉆攻中心 高速加工中心 都歸屬數控機床系列
本文由 伯特利數控 整理發表 www.bethel-cnc.com
2021-09
星瀚系列是宇匠數控打造的顛覆性產品,在高精度加工的情況下保證高速、高剛的特性,是真正意義的高速加工中心,其性能及質量可媲美進口高速加工中心。同時可配置超聲波系統與石墨集塵系統,亦可運用在陶瓷等硬脆料、石墨等高粉塵料的加工;… [了解更多]
2021-09
星瀚S系列是宇匠數控打造的顛覆性產品,采用全閉環設計,在高精度加工的情況下保證高速、高剛的特性,是真正意義的高速加工中心,其性能及質量可媲美進口高速加工中心。同時可配置超聲波系統與石墨集塵系統,亦可運用在陶瓷等硬脆料、石墨等高粉塵料的加工;… [了解更多]
2020-10
電火花加工中的石墨電極具有加工速度快、加工精度高、耐高溫、放電損耗小等優點,因而石墨電極廣泛用于電加工修整大體積模具、微細筋槽、微細孔特殊結構、 復雜曲面的汽車輪胎模、 窄槽的薄壁(壁厚 0.1 mm)模具等(見圖 1)。 目前國外石墨電極已廣泛應用在模具制造中,其與銅電極的應用… [了解更多]